João Neto
Quem se identifica: “Aula de análise instrumental sobre o tema Cromatografia. O Professor passa um monte de teoria sobre o assunto e despeja várias equações, gráficos, termos complicados, vira pra turma e diz que o profissional que conhece cromatografia é bem valorizados no mercado, pois é uma técnica muito complicada e de larga utilização.”

Depois da aula você pensa: “Nunca vou ser valorizado, isso é muito complicado.”
Isso já aconteceu comigo, estive em uma aula onde me apresentaram os métodos cromatográficos, e quando saí de lá não queria ver aquilo ali nem pintado de ouro em minha frente. Entretanto, a vida prega algumas peças na gente e quando entrei no mercado de trabalho me deparei com a técnica como um dos primeiros grandes desafios que tive que enfrentar, e ao utilizar no dia-a-dia percebi que não era uma técnica tão complicada, mas uma técnica que exige muito do usuário e que não tem tamanha complexidade quanto as equações e gráficos que foram usadas para desenvolvê-la.
Neste artigo quero traduzir de maneira simples a equação de Van Deemter e ajudar quem está iniciando, ou quem já trabalha, mas não entende bem os termos e o que acontece durante a cromatografia.
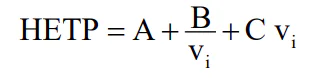
Primeiro, a equação de Van Deemter:

HEPT: Altura equivalente de um prato teórico – Traduzindo: Eficiência de separação, quanto MENOR esse valor melhor, significa que as separações serão melhores e o pico tenderá ter um perfil mais fino.

A: Termo de difusão de Eddy, relacionado ao empacotamento da coluna. – Traduzindo: Esse termo está relacionado à qualidade da coluna, à forma com que as partículas estão armazenadas na coluna, o formato das partículas e o tamanho delas. Para reduzir a influencia desse termo, é necessário ter uma coluna com tamanho de partículas uniformes, formatos uniformes (esféricos) e o empacotamento deve ser padronizado, e aqui nesse ultimo aspecto também podemos citar algumas boas práticas de uso para aumentar a vida útil da coluna, como por exemplo aumentar o fluxo gradativamente, não inverter a coluna, utilizar solventes adequados e fases móveis filtradas, tudo isso para reduzir a criação de “caminhos preferenciais” ou um empacotamento desuniforme.

B: Termo do coeficiente de dispersão – Traduzindo: Esse termo nada mais é que o deslocamento do analito durante a análise cromatográfica e está inversamente ligada ao aumento da velocidade, ou seja, quanto maior a velocidade da fase móvel menor será a difusão do analito e consequentemente o pico será mais fino e a análise será mais rápida também (aqui tem algumas limitações como pressão do equipamento, tamanho de partícula da coluna… que não vamos discutir no momento.).

C: Termo de resistência durante a transferência de massa – Traduzindo: o analito, a fase móvel e a fase estacionária têm interações entre elas. A fase estacionária vai exercer uma resistência à passagem da fase móvel junto com o analito e ela aumenta com o aumento da velocidade linear, ou o fluxo da fase móvel.
v: Velocidade linear – Traduzindo: Nada mais nada menos que o fluxo da fase móvel.
O resultado de tudo isso vai resultar no gráfico abaixo:

A linha pontilhada mostra a representação da equação de Van Deemter, nela podemos ver uma região onde temos uma velocidade de fase móvel ideal para obtermos a maior eficiência de separação.
E como chegamos nessa região?
Experimentalmente podemos otimizar as condições cromatográficas (composição de fase móvel, fase estacionária) e alterar o fluxo para verificar se as separações melhoram ou não (nesse caso a melhora ocorrerá no perfil do cromatograma, com picos mais finos e bem resolvidos).
Precisando de ajuda nesse processo no seu negócio? Fale conosco sobre isso em https://www.kivalitaconsulting.com/contact